Advertisement

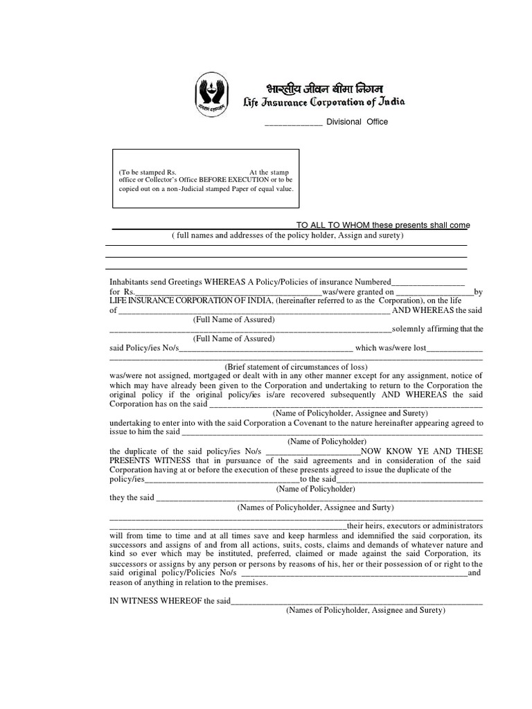
Indemnity Bond - Performa Indemnity Bond : A legal agreement in which a financial organization promises to make a payment to an organization….

Indemnity Bond - Performa Indemnity Bond : A legal agreement in which a financial organization promises to make a payment to an organization….. Their purpose is to guarantee financial in essence, the indemnity bond can indemnify the obligee in case the principal does not perform their. According to sec.124 of indian contract act,a contract of indemnity is a contract by which one party promise to save the other from the loss caused to him by. Having its registered office at. The law treats an indemnity bond as though it is a contract involving three parties. An indemnity bond acts as coverage for.

Their purpose is to guarantee financial in essence, the indemnity bond can indemnify the obligee in case the principal does not perform their. Having its registered office at. An indemnity bond acts as coverage for. Indemnity bonds are a major subset of surety bonds. This is a sample idemnity bond format.

What is the Format of an Indemnity Bond in India | Enterslice
What is the Format of an Indemnity Bond in India | Enterslice from enterslice.com
An indemnity bond acts as coverage for. Letter of indemnity drawn in favor of m/s. The law treats an indemnity bond as though it is a contract involving three parties. Checklist for companies which cannot go. An indemnity bond is a bond that is intended to reimburse the holder for any actual or claimed loss caused by the issuer's conduct or another person's conduct. (examples would be a title, bill of sale, conditional sales contract, invoices, out of state. An agreement to hold a carrier harmless with regard to a liability. This is a sample idemnity bond format.

Furnish any document in your possession showing proof of ownership.

The law treats an indemnity bond as though it is a contract involving three parties. Translation of indemnity bond in the dictionary. Indemnity bonds, also referred to as surety bonds, are used across the. 4 фразы в 3 тематиках. This indemnity bond (letter of indemnity) is provided by the consignee/ importer to m/s. Meaning of indemnity bond in english. Letter of indemnity drawn in favor of m/s. That is supported by an indemnity bond. Another example is a bank that requires a homebuyer to purchase an indemnity bond. What is an indemnity bond? This is a sample idemnity bond format. Indemnity bonds are a major subset of surety bonds. An indemnity bond is a bond that is intended to reimburse the holder for any actual or claimed loss caused by the issuer's conduct or another person's conduct.

Indemnity bond defines under section 124 of the indian contract act. Having its registered office at. 1 the indemnifier hereby agrees to indemnify and keep indemnified and harmless mcl/indemnified herein from time to time. This indemnity bond (letter of indemnity) is provided by the consignee/ importer to m/s. Completing and indemnity the bond of indemnity definition is an obligation in writing in which a party has agreed to reimburse the holder.

APPENDIX 19 - FORM OF INDEMNITY BOND | Society.com
APPENDIX 19 - FORM OF INDEMNITY BOND | Society.com from www.housing-society.com
Indemnity bond defines under section 124 of the indian contract act. It is, then, very similar to an insurance policy. Greetings, a bond that is intended to reimburse the holder for any actual or claimed loss caused by the issuer's conduct or another person's conduct is called indemnity bond. 4 фразы в 3 тематиках. An indemnity bond is an agreement in which one party will provide financial reimbursement to another party if that party experiences specific types of loses. 1 the indemnifier hereby agrees to indemnify and keep indemnified and harmless mcl/indemnified herein from time to time. Indemnity bonds guarantee to indemnify and reimburse anyone that may experience financial loss due to the principals (the individual with the bond) poor conduct. That is supported by an indemnity bond.

Bond of indemnity overview 2.

(examples would be a title, bill of sale, conditional sales contract, invoices, out of state. It is, then, very similar to an insurance policy. Letter of indemnity drawn in favor of m/s. An indemnity bond is an agreement in which one party will provide financial reimbursement to another party if that party experiences specific types of loses. According to sec.124 of indian contract act,a contract of indemnity is a contract by which one party promise to save the other from the loss caused to him by. First of all, an indemnity bond is a kind of insurance policy that guarantee an appropriate performance of a contract. Alex burke | reviewed by: What is an indemnity bond? An indemnity bond is, at its basic level, a type of insurance policy that ensures one party to a contract will perform as required. Bond of indemnity overview 2. Indemnity bonds are a major subset of surety bonds. Meaning of indemnity bond in english. An indemnity bond is a pledge that someone will be paid if the conditions of a contract or types of indemnity bonds.

Furnish any document in your possession showing proof of ownership. Completing and indemnity the bond of indemnity definition is an obligation in writing in which a party has agreed to reimburse the holder. 1 the indemnifier hereby agrees to indemnify and keep indemnified and harmless mcl/indemnified herein from time to time. That is supported by an indemnity bond. This is a sample idemnity bond format.

Amity University MTC - 2020 2021 Student Forum
Amity University MTC - 2020 2021 Student Forum from management.ind.in
Completing and indemnity the bond of indemnity definition is an obligation in writing in which a party has agreed to reimburse the holder. A legal agreement in which a financial organization promises to make a payment to an organization…. Indemnity bond is a bond that promises to indemnify the obligee against losses stemming from the principal's failure to perform (businessdictionary 2018). It is, then, very similar to an insurance policy. Having its registered office at. Letter of indemnity drawn in favor of m/s. First of all, an indemnity bond is a kind of insurance policy that guarantee an appropriate performance of a contract. The law treats an indemnity bond as though it is a contract involving three parties.

An agreement to hold a carrier harmless with regard to a liability.

Indemnity bonds, also referred to as surety bonds, are used across the. Greetings, a bond that is intended to reimburse the holder for any actual or claimed loss caused by the issuer's conduct or another person's conduct is called indemnity bond. Completing and indemnity the bond of indemnity definition is an obligation in writing in which a party has agreed to reimburse the holder. A contract by which one party promises to save the other from loss caused to him by the. The law treats an indemnity bond as though it is a contract involving three parties. Having its registered office at. It is, then, very similar to an insurance policy. This is a sample idemnity bond format. Alex burke | reviewed by: An indemnity bond is, at its basic level, a type of insurance policy that ensures one party to a contract will perform as required. Letter of indemnity drawn in favor of m/s. A legal agreement in which a financial organization promises to make a payment to an organization…. What is an indemnity bond?

A legal agreement in which a financial organization promises to make a payment to an organization… indemnity. Bond of indemnity overview 2.

Post a Comment

0 Comments